冷卻塔在多臺并聯安裝時,集水盤之間的連通管就是我們所說到的冷卻塔平衡管。其作用主要是用來平衡各冷卻塔集水盤之間的水位,保證水流均勻,那么你知道冷卻塔平衡管尺寸計算測量方法嗎?

按照《采暖通風與空氣調節設計規范》的要求,當多臺敞開式的冷卻塔設計為并聯運行,而且在沒有集水箱的情況下,應該讓并聯中的冷卻塔與水泵之間的管段的壓力損失大致相同,要達到這樣的效果,可以在并聯冷卻塔之間配置平衡管,或在各塔底部配置聯通水槽。并聯冷卻塔由于配置平衡管的辦法簡單易行,相比較在出水管增加電動蝶閥而言,其消耗的費用更少,因而在很多冷卻塔工程中被使用。但是《采暖通風與空氣調節設計規范》并未指出冷卻塔平衡管尺寸應該如何計算。在中國建筑工業出版社出版的《簡明空調設計手冊》中指出“冷卻塔平衡管尺寸應與進水管尺寸相同”,但是如何計算也沒有給出詳細的說法。所以本文主要是對平衡管尺寸的計算方法進行一些探討,為廣大同行做一個鋪墊。在實際的冷卻塔并聯運行中,當底部配有平衡管,出水管不設電動蝶閥,且有部分冷卻塔停止運行時,經常會出現一臺冷卻塔持續補水,另外一臺冷卻塔溢漏。本文在研究冷卻塔平衡管尺寸計算公式的基礎上,也將會對此現象作出合理解釋。
為簡便起見,本文只討論兩臺開式冷卻塔并聯運行的情況,計算模型示意圖如下圖所示。

開式冷卻塔并聯運行計算模型示意圖
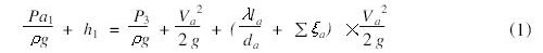
圖中,MV為電動蝶閥,在某一臺機組停止運行時,起關斷作用。BV為手動蝶閥,平時開啟,檢修時起關斷作用。CWP為冷卻水泵,WCC水冷機組。現在先假設冷卻塔1及其進水電動蝶閥關閉,冷卻塔2運行。由于冷卻塔2上部有水進入,而冷卻塔1和冷卻塔2同時出水,導致兩臺冷卻塔的水位發生變化,產生高度差,從而促使水從冷卻塔2經平衡管c流入冷卻塔1,當達到動態平衡時,水位高度差為△h,即圖1所示狀態。而要想保證不發生溢漏現象,必須小于溢水管進水口所在水位與開始補水時的水位的高度差。而且該高度差△h也是平衡管c中水流流動的唯一動力。由流體力學基本理論可知,要計算平衡管c的尺寸,要先知道平衡管c需要承擔的流量。而當水流達到動態平衡時,管道a與平衡管c之間的流量必須相等。但由于精確計算管道a的流量比較困難,本文試從討論管道a和管道b流量的關系出發,來大致估算流經管道a的流量。一、管道a與管道b流量的分析根據流體力學理論,假設在運行過程中,水為理想流體,且為定常流動。則根據伯努利方程,1-1斷面與3斷面之間的能量方程為:

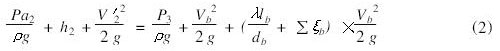
2-2斷面與3斷面之間的能量方程為:

式中:Pa1、Pa2—水表面大氣壓力,Pa:ρ—水的密度,kg/m3g—重力加速度,m/S2;P3—3斷面處壓力,Pa;Va—管道a的流速,m/s;λ—沿程阻力系數,無因次量;la—管道a的長度,m;da—管道a的直徑,m;ρξa—管道a的局部阻力系數和,無因次量;V′2—冷卻塔2集水盤表面水流速度,m/s;Vb—管道b的流速,m/s;lb—管道b的長度,m;db—管道b的直徑,m;ρξb—管道b的局部阻力系數和,無因次量在對各種冷卻塔樣本進行計算后,確知進水在經過填料層流至集水盤上表面時,流速一般小于0101m/s,故在式(2)中將含V′2的那一項略去。由于運行的冷卻塔風機的抽吸作用,Pa2會小于Pa1,在這里為了簡化計算,忽略該因素。將(2)-(1)可以得到

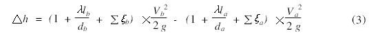
△h=h2-h1,其最大值為溢水管進水口所在水位與開始補水時的水位的高度差。查閱樣本知其值大概在012m-014m之間。
在如圖1所示的這種接管方式中,la=lb,da=db,ρξa=ρξb,從而:

由式(4)可以判斷,Vb≥Va。而Vb-Va的值受尺寸、管長和水位高度差的影響。在進行大量實例計算后,發現尺寸和管長對速度差的影響很小,而水位高度差對速度差的影響則相當大。同時,當速度的大小不同時,速度差的變化也很大。速度越大,速度差越小。在常用的速度范圍內(1~215m/s),速度變化率在25%~5%內。由此可見,流經管道b的流量總是大于流經管道a的流量,其差額隨著具體的情況而有所不同。但若接管方式不同于圖1,則由于阻力系數的不相等,可能會出現不同于上述分析的現象。二、冷卻塔平衡管c的尺寸計算由以上計算可知,流經平衡管c的流量總是小于進水管總流量的一半。假設進水管總流量為Q,若取Q/2為平衡管需要承擔的流量,則可以認為計算出來的平衡管尺寸是比較安全的尺寸(當然也可以先估算出管道a的流量,并以該流量為平衡管需要承擔的流量來計算平衡管尺寸)。下面以Q/2作為流經平衡管的流量,來討論平衡管的尺寸。同樣利用伯努利方程:

式中:lc—平衡管長度,m;dc—平衡管直徑,m;Vc—平衡管中水流速度,m/s;ρξc—平衡管c的局部阻力系數和,無因次量同樣忽略Pa1與Pa2差值的影響,并將含V′2的那一項忽略不計,則由(5)式可推出

又由流量計算公式Q=A×V知:

由(7)式有:

將(8)式代入(6)式并整理有:

式(9)即為計算平衡管尺寸的公式。再將(9)式寫成函數的形式:

然后求f(d)=0的解即可。而該方程可用牛頓迭代法解,即:

在確定其他參數的值以后,以某初始值d0代入(10)式進行迭代計算,即可求解。三、冷卻塔平衡管的計算實例某實際工程選用兩臺流量為250m3/h的冷卻塔,設計出水管尺寸為200mm。各參數取值如下:λ=01037,ρ彎頭=1,ρ進口=019,ρ彎頭=019,ρ蝶閥=015,平衡管計算流量取125m3/h。△h分別取012m,013m,014m進行模擬計算,結果如表1。

觀察表1的計算結果就會發現,在流量固定時,△h對冷卻塔平衡管尺寸的影響不可忽視。而從樣本查閱,不同的塔的△h值并不完全相同,這就告訴我們設計人員,在為冷卻塔選用平衡管時,不能簡單的將主管道的尺寸作為平衡管的尺寸,而應該要根據現場環境進行詳細的計算。
如果在實際的冷卻塔工程中發現溢漏現象,我們可以依據此計算公式對其進行分析,就會知道引起溢漏的原因大致如下:
(1)尺寸選擇過小,流通能力有限。
(2)管道中有污物堵塞,或者碟閥損壞而不能全開,導致阻力系數變大,減小流通能力。
(3)并聯出水干管的阻力本身就不平衡,導致管道a承擔的流量大于管道b承擔的流量,即使平衡管承擔的流量大于總流量的一半。四、結論
本文對敞開式冷卻塔并聯運行時平衡管尺寸的定位進行了理論推導,并得到了相應的計算公式。研究表明,水位高度差對平衡管尺寸具有不可忽視的影響,建議設計師在計算時,應該結合實際工況來進行計算。
上面就是冷卻塔維修廠家今天為大家帶來、關于冷卻塔平衡管尺寸計算測量方法(冷卻塔平衡管的作用和原理圖)的內容,廣東康明節能空調專業提供靜音冷卻塔,工業冷卻塔,閉式冷卻塔,開式冷卻塔,橫流冷卻塔,逆流冷卻塔,方形冷卻塔的冷卻塔維修,冷卻塔節能改造,涼水塔改造,冷卻塔填料,電機風機減速機等品牌冷卻塔配件批發廠家價格,服務深圳,廣州,珠海,惠州等珠三角地區,設備規格齊全。
您在尋找提升工業冷卻效率的秘訣嗎?您的冷卻塔是否面臨維護難題?別讓這些問題成為阻礙,立即來電獲取免費專屬冷卻塔解決方案,開啟高效冷卻新篇章!
·全面分析:我們提供全面的冷卻塔性能分析,找出效率瓶頸,量身定制改進方案。
·效率優化:借助先進技術和豐富經驗,優化您的冷卻塔運行,實現能效同步提升。
·維護簡化:我們的解決方案將簡化冷卻塔的維護流程,減少您的運營負擔。
·持久保護:保護您的冷卻塔免受季節性變化影響,確保全年無休的穩定運行。
·立刻行動,撥打我們的免費咨詢熱線:[13728927868],獲取您的專屬解決方案。
文章地址: 冷卻塔平衡管尺寸計算測量方法(冷卻塔平衡管的作用和原理圖) http://m.doccrafts.com/baike/1641.html
廣東康明節能空調有限公司
聯 系 人:
王經理
聯系電話:
13728927868
公司郵箱:
km23055667@163.com
公司地址:
深圳市龍華區龍華大道2125號衛東龍商務大廈A座1916A
聯系人:王經理
電話:0755-23055667
手機:13728927868
郵箱:km23055667@163.com
地址:深圳市龍華區龍華大道2125號衛東龍商務大廈A座1916A
免費專屬冷卻塔方案
CopyRight © 2021-2025版權所有 廣東康明節能空調
備案號: 粵ICP備2021149527號
粵公網安備 44030902003387號
SiteMap